8(846) 201-222-5

Новости компании

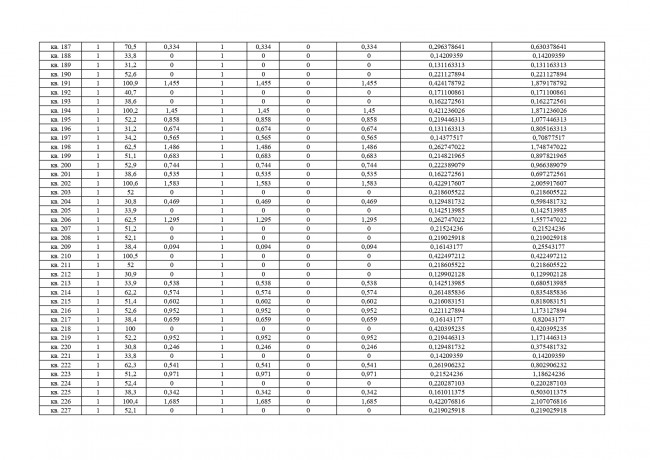
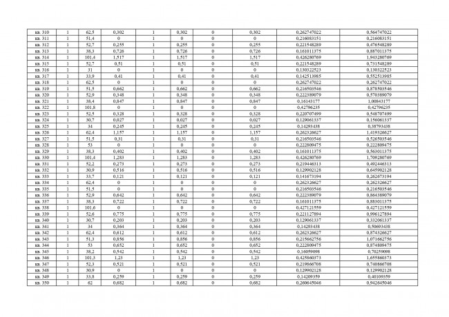
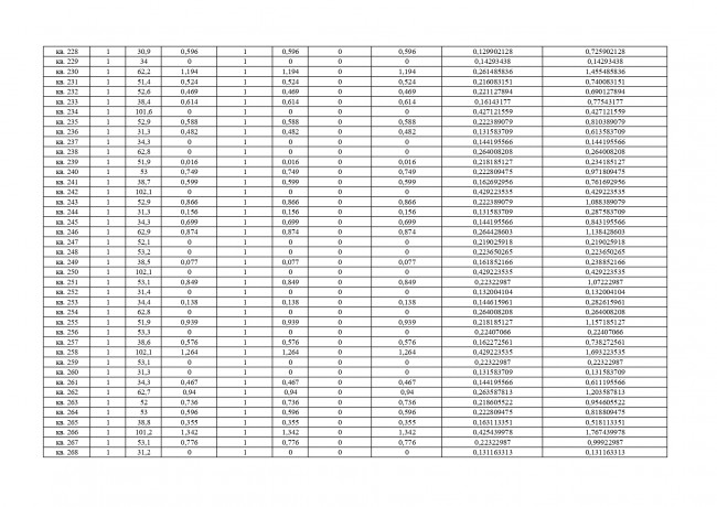
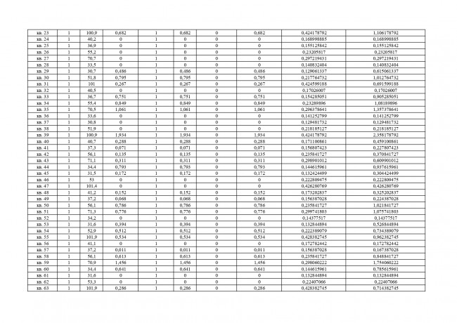
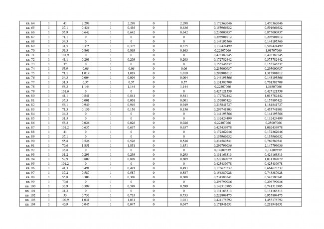
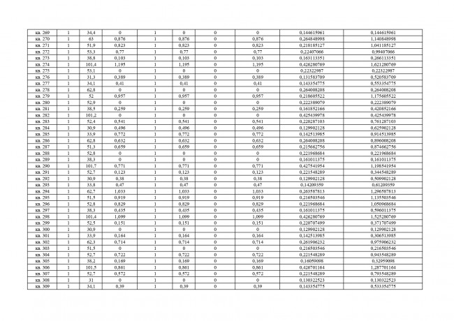
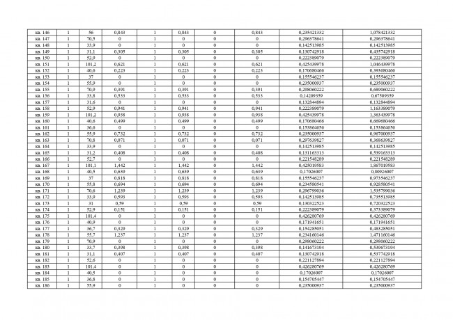
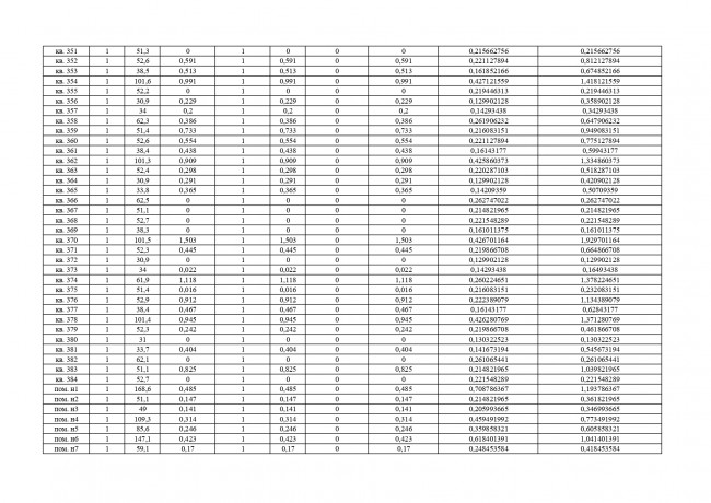
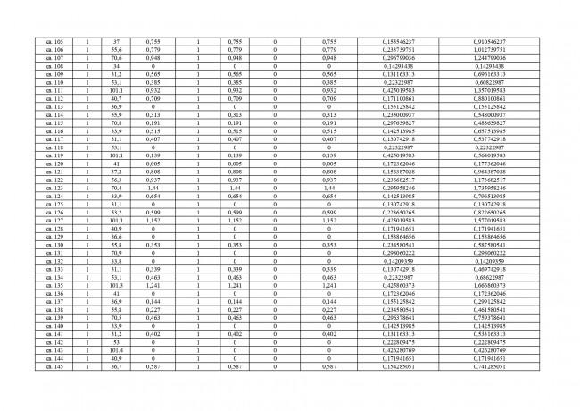
Расчет услуги отопления 4-ый проезд д. 67Б ( Ноябрь 2025)

01.12
2025

Порядок расчета услуги "отопление" установлен пунктами 42(1), 43 Правил предоставления коммунальных услуг собственникам и пользователям помещений в многоквартирных домах и жилых домов, утвержденных постановлением Правительства РФ от 6 мая 2011 г. № 354 «О предоставлении коммунальных услуг собственникам и пользователям помещений в многоквартирных домах и жилых домов» (далее – Правила), согласно утвержденным формулам расчета. Для Вашего дома, формула расчета коммунальной услуги «отопление» установлена пунктом 3(3) приложения №2 к Правилам № 354. Если МКД оборудован ОДПУ тепловой энергии, а все жилые и нежилые помещения дома – ИПУ, то плата за коммунальную услугу по отоплению рассчитывается следующим образом: Размер платы для одного жилого или нежилого помещения в МКД = Общая площадь Вашего помещения ÷ Общая площадь всех жилых и нежилых помещений в МКД × Объем тепловой энергии, предоставленный за расчетный период в МКД + Объем тепловой энергии на индивидуальное потребление за расчетный период, по показаниям ИПУ × Тариф на тепловую энергию Формула: Объем тепловой энергии, предоставленный за расчетный период в МКД = Объем тепловой энергии, потребленной за расчетный период в МКД, по показаниям ОДПУ – Суммарный объем тепловой энергии на индивидуальное потребление, по показаниям ИПУ Простым языком это означает, что если в многоквартирном доме есть ОДПУ (общедомовой прибор учета) и одновременно все жилые или нежилые помещения имеют ИПУ, то размер платы за коммунальную услугу по отоплению определяется: — по показаниям ИПУ; — к плате по показаниям ИПУ добавляется плата за коммунальную услугу на содержание общего имущества, рассчитываемая по ОДПУ за вычетом потребления объема (количества) тепловой энергии, потребленного во всех жилых или нежилых помещения (абз. 5 п. 42(1) Правил № 354).
Назад

Для улучшения работы сайта и его взаимодействие с пользователями мы используем файлы cookie. Продолжая пользоваться сайтом, вы соглашаетесь с использованием файлов cookie. Вы всегда можете отключить файлы cookie в настройках браузера. Оператор использует информацию, содержащуюся в файлах cookie в течение сроков и на условиях, указанных в настоящей Политике